回应模式 - No.57396763


No.57396763 - 创作茶水间


众神之血聊天室无名氏No.57396763 返回主串

2023-05-12(五)20:52:39 ID:Z9688HR 回应

车卡串传送门
No.57396322

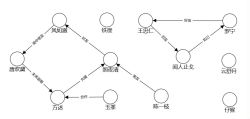
无标题无名氏No.62681289

2024-06-08(六)13:37:16 ID: Z9688HR (PO主)

联动关系如下(`・ω・)

无标题无名氏No.62681396

2024-06-08(六)13:50:18 ID: Z9688HR (PO主)

>>No.62680960
目前的剧情在杨府,其他地区的pl暂时还不能行动,不过pl们可以选择参与哦,只要有合适的理由即可(`・ω・)

无标题无名氏No.62687842

2024-06-09(日)00:43:09 ID: Z9688HR (PO主)

>>No.62687219
可以参考明末哦(`・ω・)

无标题无名氏No.62704682

2024-06-10(一)15:56:01 ID: Z9688HR (PO主)

>>No.62704442
历史上有过先例,本团是自由的,结果取决于你的rp和r点,还有一旦失败需要面临的后果
(`・ω・)

无标题无名氏No.62706412

2024-06-10(一)18:41:37 ID: Z9688HR (PO主)

>>No.62706123
是两个不同的宴会,寿宴主要是朝臣参与
曲水流觞是娱乐性质的

无标题无名氏No.62710150

2024-06-11(二)00:27:26 ID: Z9688HR (PO主)

>>No.62707514
请问闻人止戈私通匪寇的罪名是否为真?到底是怎样的私通,又是谁的告发?写反诗的事情是否被知道?可以的话能进行详细解释吗(`・ω・)

无标题无名氏No.62710176

2024-06-11(二)00:30:22 ID: Z9688HR (PO主)

>>No.62710150
语气有点冲了,只是闻人止戈现在的罪名不够详细,不好进行后续的剧情展开,方便的话还请pl能够完善一下背景( ゚∀。)

无标题无名氏No.62713539

2024-06-11(二)10:48:57 ID: Z9688HR (PO主)

>>No.62711523
没啥问题(`・ω・)就是被当工具人是吧

无标题无名氏No.62719533

2024-06-11(二)19:30:57 ID: Z9688HR (PO主)

>>No.62719120
有哦,比如守旧派,还有因为改革侵犯到利益的地主和官员(`・ω・)