写作绅士,读作丧尸 X岛揭示板
顺猴者昌 逆猴者亡 首页版规 |用户系统 |移动客户端下载 | 丧尸路标 | | 常用图串及路标 | 请关注 官方公众号:【X岛揭示板】 官方微博: 【@X岛极速版】| 人,是会思考的芦苇
常用串:·豆知识·跑团板聊天室·公告汇总串·X岛路标

[只看PO]No.51805515 - 【神秘生物眷属】【非人类】 - 跑团


• 本版为X岛特色跑团版,桌游交流请于卡牌桌游板块发布,团外相关讨论请前往跑团茶水间板块,其他版块新开串将被删除。
• 你可能会用到的相关串,点击或者使用串号即可跳转
>>No.50158554 X岛机制串 | >>No.50391971 沉浸团路牌
>>No.50485316 鸽友聊天室 | >>No.50576021 完结集中串
>>No.50869739 术语解答串 | >>No.51033099 弃坑集中串
>>No.51109181 推荐集中串 | >>No.51650321 新人求助处
• 请kp不要跑任何形式的粉红团,pl参团时请注意尺度
• 任何擦边球内容请及时举报至值班室,以防止删除导致的整团流畅性下降
• 请各位kp不要在主串留过长内容,请将主要规则更新至第一个回复,以避免刷屏
NEW: 可以使用[n]或者[n,m]来roll点(n和m都需要是数字,支持负数)

【神秘生物眷属】【非人类】 召唤,然后当它的跟班 2022-09-06(二)17:06:25 ID:lon1zBy [举报] [订阅] [返回主串] No.51805515 [回应] 管理
你翻看着这本沉重的古书,脆弱泛黄的书页上写着咒语与符文。你还记得扉页上的警告:“此书记述着被封印的强大邪物,无论读者是谁,想清楚你这么做的后果。”

蜡烛火焰摇曳,你身前的地上画着粉笔绘成的,歪歪扭扭的符文。

那么你为什么要执行书里的召唤仪式呢?
(单选)
1小偷,因为偷了不该偷的东西正在被追杀:“死之前总要试试吧?”

2即将挂科的学生:“反正要挂了,更复习不进去了……不如试试这个”

3小说家:“实践有助于写作……”

4平庸之辈:“这玩意儿总不能是真的吧?”
收起 查看大图 向左旋转 向右旋转
无标题 无名氏 2022-11-07(一)01:05:47 ID:lon1zBy (PO主) [举报] No.53268447 管理
你对着他竖了个中指,然后戴好帽子继续前进。

德怀特低沉的笑声回荡在走廊里。

仔细想想怎么着都是你亏。

该死。

去哪里呢?
a
b
c
收起 查看大图 向左旋转 向右旋转
无标题 无名氏 2022-11-07(一)01:09:22 ID:lon1zBy (PO主) [举报] No.53268515 管理
在半路上又到了沙漏翻转的时候……

目前时间:1

roll,二尾合
(新骰)
1-5 空空如也
6-7 血量加一
8-9 能瞬移到去过的房间
0商人
无标题 无名氏 2022-11-07(一)01:11:03 ID:lon1zBy (PO主) [举报] No.53268553 管理
//新骰plz
无标题 无名氏 2022-11-07(一)01:14:23 ID:lon1zBy (PO主) [举报] No.53268608 管理
//一个是新骰也算,随机性有了就行

3+7=10

一个举着天平的阿努比斯像出现,一边放着货物,一边写着:等价交换

你目前的硬币:6

墙上绘制的商品价格:
血量加一:2
跳过一次解密:10
直接传送到去过的房间:5

你:
1不买
2血量x3
3传送x1
4自定义搭配
无标题 无名氏 2022-11-07(一)09:34:01 ID:lon1zBy (PO主) [举报] No.53271977 管理
你用6枚硬币换了三颗红宝石。

你把红宝石镶在了腰带的圆盘上,你现在血量有7了。

————某个房间————

德怀特用拇指揉了揉太阳穴,似乎在他说完这酒度数很低之后这玩意儿一下子喝起来就晕头了。

他把手捏成拳又松开,他大概有点醉了,不过管它的呢?他现在可是少有的开心。

镜子里霍拉斯跑到了死路上,然后在甬道了跑来跑去。这倒是他从未见过的健康活泼,德怀特觉得这是好事,年轻人就该这样。

他伸手摸向牌堆:
3[1,10]

1-5空
6-7蝎子
8-9蛇
0圣甲虫
收起 查看大图 向左旋转 向右旋转
无标题 无名氏 2022-11-07(一)09:36:48 ID:lon1zBy (PO主) [举报] No.53272044 管理
运气不太好呢……

不过好像他一直运气也不算太好。

画中人继续给他捶肩,狼人半眯起眼睛。

————————

你要去:
a
b
c
无标题 无名氏 2022-11-07(一)09:57:05 ID:lon1zBy (PO主) [举报] No.53272517 管理
你来到了一个长长的井状房间。

目前时间:2

你沿着楼梯往上走了一点,然后水流从墙上的空洞里涌出,一些鳄鱼开始在水里游动……

你简直想翻白眼,经典桥段:限时跑酷。

还好这个世界里你的腿脚灵便,肺也在健康正常的工作。

总距离:20

roll,二尾合
1-10
(新骰plz)
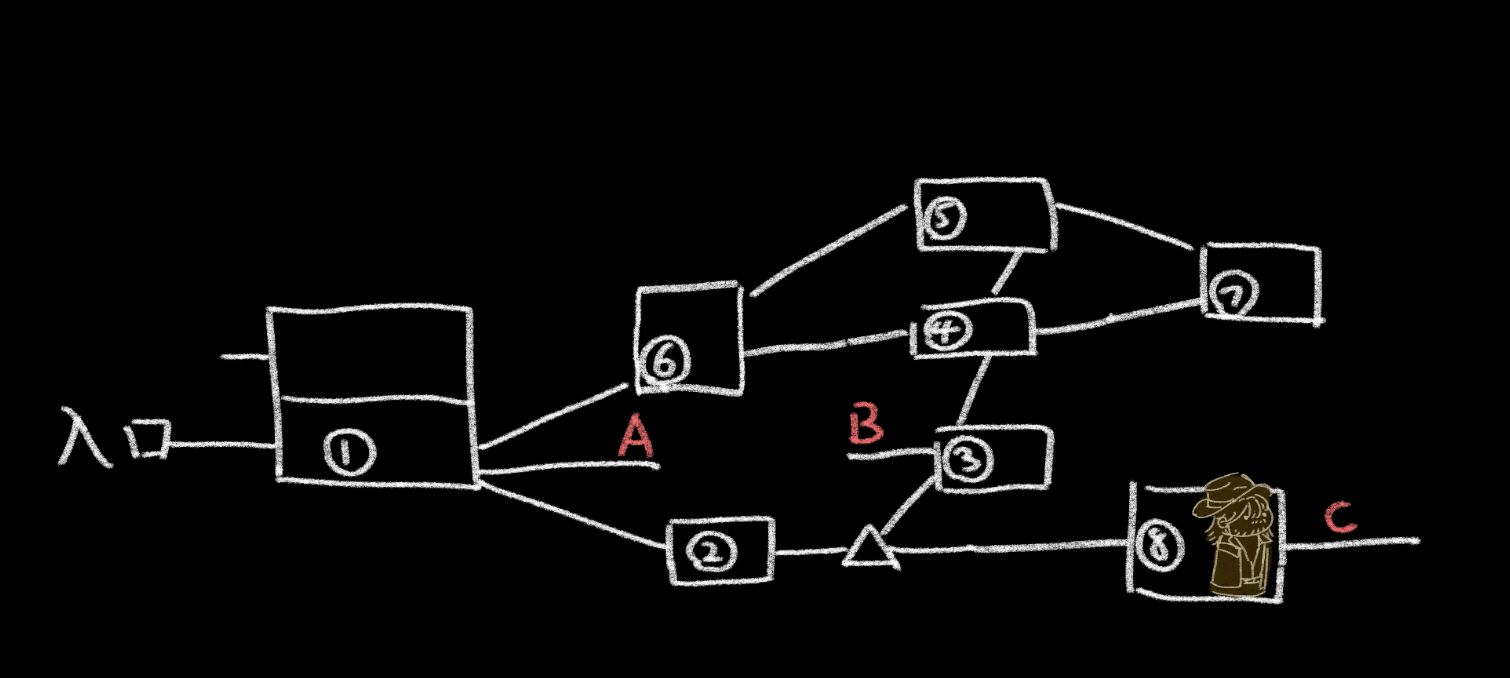
收起 查看大图 向左旋转 向右旋转
无标题 无名氏 2022-11-07(一)09:57:20 ID:lon1zBy (PO主) [举报] No.53272527 管理
//目前位置
无标题 无名氏 2022-11-07(一)11:35:40 ID:lon1zBy (PO主) [举报] No.53275064 管理
2+4=6

剩余:14

你跑得前所未有的快,只要你跑得够快鳄鱼就抓不到你,但是你真的够快吗?

目前时间:3

鳄鱼会在时间到6时追上你。

roll,二尾合
1-10
(请用新骰)
无标题 无名氏 2022-11-07(一)11:43:07 ID:lon1zBy (PO主) [举报] No.53275236 管理
4+8=12

剩余:12

时间:4

你被石头绊倒了,水顾涌上来,你连滚带爬地往上滚动。

牛仔帽掉进了水里,然后消失在鳄鱼的尖牙间隙里。

roll,二尾合
1-10
(请用新骰)
无标题 无名氏 2022-11-07(一)11:56:28 ID:lon1zBy (PO主) [举报] No.53275530 管理
3+4=7

剩余:5

目前时间:5

你跑得飞快。

————在某个地方————

德怀特看着在楼梯上手脚并用,连滚带爬的你,他站起身,把腰带上的布捋直。

阿努比斯站着不动,只低着头看他,德怀特说道:“这种事还是得看现场有意思。”

——————————

最后一次,要么你冲出去,要么你被鳄鱼啃一口。

你不好吃是肯定的,但鳄鱼很想啃你一口也是肯定的。

出口处一个熟悉的身影站在那里,是被侍从簇拥的德怀特。在你的瞪视里,他向你举举手中的酒杯,然后一饮而尽。

roll,二尾合
1-10
(请用新骰)
无标题 无名氏 2022-11-07(一)12:10:52 ID:lon1zBy (PO主) [举报] No.53275956 管理
2+0=2

剩余:3

时间:6

水一下子将你淹没,你冷不丁地呛了一大口水。你努力在水下睁开眼睛,扑腾着你的胳膊腿,德怀特的身影隔着水面看不分明,鳄鱼在水中一个冲刺,狠狠咬在你的腿上。

你又呛了一口水,虽然疼得要命,但是水里既没有血迹,你的腿也好好的,你摸摸你的腰带,上面的宝石少了一颗。

目前血量:6

你以为你会在水里憋出问题来,但事实上你的肺活量似乎比过去好了不少,你努力蹬水……

你:
1踢鳄鱼
2快逃
无标题 无名氏 2022-11-07(一)12:23:27 ID:lon1zBy (PO主) [举报] No.53276231 管理
你对着鳄鱼就是一脚。

那么效果如何?

roll,二尾合
(新骰)
1-5 被啃啦
6-0 击退啦
无标题 无名氏 2022-11-07(一)12:28:10 ID:lon1zBy (PO主) [举报] No.53276330 管理
0+2=2

嘎嘣脆,霍拉斯味。

你另一条腿也被鳄鱼嚼嚼,疼得你在水里翻滚,还好不会真的失去你的腿。

红宝石又少了一颗。

目前:5

你:
1继续踹踹
2快跑
无标题 无名氏 2022-11-07(一)12:54:16 ID:lon1zBy (PO主) [举报] No.53276951 管理
//拉锯
1:5
2:5
无标题 无名氏 2022-11-07(一)13:02:22 ID:lon1zBy (PO主) [举报] No.53277157 管理
你抬起腿又是一脚。

roll,二尾合
(新骰请)
1-5 霍拉斯好味
6-0 击退!
无标题 无名氏 2022-11-07(一)13:09:47 ID:lon1zBy (PO主) [举报] No.53277336 管理
1+4=5

你感觉鳄鱼快说:“霍拉斯好味。”了。

时间:7

血量:4

你刚刚买的血量已经完全被嚯嚯掉了,透过水面看去,德怀特还在看戏。

你:
1踹踹
2快跑
无标题 无名氏 2022-11-07(一)13:17:34 ID:lon1zBy (PO主) [举报] No.53277503 管理
快跑!

你在水里游泳,剩余距离:3

roll,二尾合
(水中前进,减1)
(新骰)
1-10
收起 查看大图 向左旋转 向右旋转
无标题 无名氏 2022-11-07(一)15:04:54 ID:lon1zBy (PO主) [举报] No.53279715 管理
1+8=9

时间:8

你连滚带爬的摸上了岸。

鳄鱼看了你一眼,兴趣缺缺的离开了。

你跪在地上直往外咳水,浑身的衣服也和一个喷壶一样往地上滴水。你湿淋淋的牛仔帽被德怀特放在了你头上,你微微抬头,咳个不停,根本说不出话来。德怀特也只伸手拍拍你的脸,然后消失在了走廊的阴影里。

你靠着墙瘫坐在一旁,脱下靴子,把里面的水倒出来,在把衣服也脱掉,用力拧拧,然后把它放到照明火盆边上去。

时间:9

衣服比你想得干得快,虽然摸起来还凉凉的,但是勉强能穿了。

你可不想回到那个井里,目前你只有走廊c可以走。

在进入下一个房门前,画像上的沙漏再次转过一圈。

抽卡。

roll,二尾合
(推荐新骰)
1-5空白
6-7血量加一
8 随机数量的硬币
9跳过解密x1
0永恒秘宝

UP主: