写作绅士,读作丧尸 X岛揭示板
顺猴者昌 逆猴者亡 首页版规 |用户系统 |移动客户端下载 | 丧尸路标 | | 常用图串及路标 | 请关注 官方公众号:【X岛揭示板】 官方微博: 【@X岛极速版】| 人,是会思考的芦苇
常用串:·豆知识·跑团板聊天室·公告汇总串·X岛路标

[只看PO]No.66003709 - 无标题 - 露营


•本版发文间隔@Time秒

无标题 无名氏 2025-05-05(一)19:06:00 ID:L0UhSsR [举报] [订阅] [返回主串] No.66003709 [回应] 管理
去年六月底的时候第一次和朋友出国日本自由行了十天,行程是大阪——广岛(尾道)——关东(涩谷新宿/横滨/江之岛),做了很久攻略包括不限于衣食住行,还有些容易担心的琐碎东西,如果有人计划去玩但是不安的话或许能参考一下

不过我们这个行程不太大众就是了|-` )
Tips 无名氏 2099-01-01 00:00:01 ID:Tips超级公民 [举报] No.9999999 管理
( `д´)现充,杀!杀!杀!
无标题 无名氏 2025-06-10(二)14:05:11 ID:L0UhSsR (PO主) [举报] No.66295141 管理
>>No.66294958
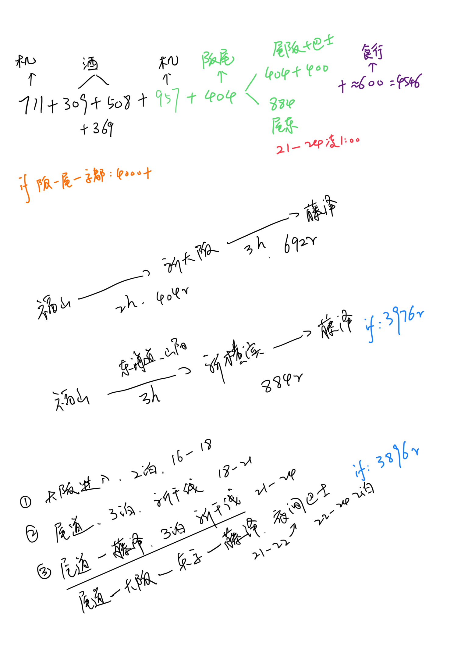
如前面提到的那样:
机票往返1668(从上海,阪进东出)+三个地方的住宿1186=2854,新干线大阪至尾道400/尾道至横滨884=1284(完全可以节省的开销,如果是新大阪站到东京站新干线应该600-700)

这些就4138rmb了,还不包括吃喝门票跟地铁,地铁挺贵的,一般十几三十rmb起步。如果肥哥们住的青旅民宿可以用厨房,吃饭也能省一点,或者多去便利店买打折便当。

或者像我说的,你只在一个地方玩,新干线钱再省下来,住行开销应该三千多可以的。

另外就是签证188+流量卡48等等开销。

*国内的学生证也能买学生票,po去美术馆用了( ゚∀゚)
收起 查看大图 向左旋转 向右旋转
无标题 无名氏 2025-06-10(二)14:26:18 ID:L0UhSsR (PO主) [举报] No.66295248 管理
二.

*因为想看场甲子园,设想的更穷游版关西十天预算,这个有时间限制,甲子园8.5-8.22,那段时间机票不便宜,再加上今年世博会,住宿可能都会上涨

*8.8京都琵琶湖有个很大的烟火大会,能免费看,给肥哥们参考

*图片写的比较散漫,可以结合着看一看,箭头旁写的是地铁价格。

想省钱所以阪进阪出,五月中旬看的8.12-8.21往返机票1498rmb,但个人感觉大阪没太多好逛的,一两天看比赛,周边京都奈良转转一周也够,出游时间还能再消。
*单次签停留日期是15天,如果预算够肥哥们可以待满,三年多次和五年多次签可待的时长分别更久。

po设想里想去上次没去成的京都稻荷神社,还有周边比叡山之类的地方,所以有全住在大阪,往返京都奈良的选项,也有分开住的选项。京都的住宿好像普遍高一些,po在图片上写的大阪116/晚,京都190/晚都是在Agoda或其他平台尽可能找的便宜地方。像大阪这个据说这个价格没有空调,地理位置周边也比较乱,所以大致参考就行,住宿实际肯定还是贵一些住的舒服点。

设想方案1里的奈良150/晚,是在爱彼迎上看到的青旅。

如果单人的话比较推荐找青旅和胶囊旅馆,双人以上有的青旅和民宿直接订一间房,不按人头收费,只是会比单人贵一点点,平摊下来更划算。

*图中“阪神”是甲子园比赛的地方,没兴趣的肥哥可以忽略。

这样按住的很差的最低预算,十天机票+住宿也有三千左右
收起 查看大图 向左旋转 向右旋转
无标题 无名氏 2025-06-10(二)14:29:15 ID:L0UhSsR (PO主) [举报] No.66295276 管理
顺便贴一下去年的规划图
收起 查看大图 向左旋转 向右旋转
无标题 无名氏 2025-06-10(二)17:48:48 ID:L0UhSsR (PO主) [举报] No.66296938 管理
>>No.66295600
(*´∀`)除了必不能省的交通费,基本像住宿我要求也不高所以会花很长时间比价,有明确写出名字的我都很推荐,住的舒服也干净!横滨住的是这家,爱彼迎好像不支持搜索,有需要的肥哥可以找找看,他家有只叫BB的黑色雪纳瑞特别可爱
无标题 无名氏 2025-06-14(六)22:34:37 ID:L0UhSsR (PO主) [举报] No.66333064 管理
>>No.66305838
感觉还行,记个参考,谢谢肥哥(*゚∇゚)

UP主: