X岛揭示板
搜索
时间线
综合线
创作线
非创作线
亚文化线
综合2线
游戏线
生活线
综合
综合版1
DANGER/U/
欢乐恶搞
速报2
绘画(二创)
社畜(校园)
故事(小说)
都市怪谈(灵异)
军武
技术宅(代码)
数码(装机)
宠物
女装(时尚)
买买买(物品推荐)
亚文化
动画综合
漫画
婆罗门一
电影/电视
主播管人(圈内)
卡牌桌游
特摄(布袋戏)
战锤
胶佬(手办)
铁道厨(车辆)
VOCALOID
小马(美漫)
东方Project
舰娘
创作
跑团
创作茶水间
规则怪谈
海龟汤(推理)
科学(干货)
文学(推书)
音乐(推歌)
AI(Chatgpt)
摄影(cos)
ROLL点
游戏
游戏综合
手游专楼
任天堂
N
S
腾讯游戏(LOL)
暴雪游戏
SE(FF14)
V社(DOTA)
怪物猎人
鹰角游戏
米哈游
音游打卡
联机(服务器发布)
生活
露营
育儿
自救互助
料理(美食)
体育(健身)
学业打卡
日记(树洞)
管理
值班室
技术支持
版务
三百人委员会
功能
用户系统
我的订阅
我的发言(new)
手机版
普通版
首页版规
|
用户系统
|
移动客户端下载
|
丧尸路标
|
|
常用图串及路标
| 请关注 官方公众号:
【X岛揭示板】
官方微博:
【@X岛极速版】
|
人,是会思考的芦苇
常用串:·
豆知识
·
跑团板聊天室
·
公告汇总串
·
X岛路标
X岛揭示板
跑团
No.52014817
第 48 页
登录
No.52014817 - 无标题 - 跑团
回应模式
No.52014817
名 称
管理员
E-mail
标题
颜文字
正文
附加图片
水印
• 本版为X岛特色跑团版,桌游交流请于
卡牌桌游
板块发布,团外相关讨论请前往
跑团茶水间
板块,其他版块新开串将被删除。
• 你可能会用到的相关串,点击或者使用串号即可跳转
>>No.50158554 X岛机制串
|
>>No.50391971 沉浸团路牌
>>No.50485316 鸽友聊天室
|
>>No.50576021 完结集中串
>>No.50869739 术语解答串
|
>>No.51033099 弃坑集中串
>>No.51109181 推荐集中串
|
>>No.51650321 新人求助处
• 请kp不要跑任何形式的粉红团,pl参团时请注意尺度
• 任何擦边球内容请及时举报至值班室,以防止删除导致的整团流畅性下降
• 请各位kp不要在主串留过长内容,请将主要规则更新至第一个回复,以避免刷屏
NEW: 可以使用[n]或者[n,m]来roll点(n和m都需要是数字,支持负数)
无标题
无名氏
2022-09-15(四)15:11:02
ID:7uCzojL
[
举报
]
[
订阅
]
[
只看PO
]
No.52014817
[
回应
]
管理
管理 -> No.52014817
SAGE
编辑
查询
Cookie查询
锁Cookie
删串
高数元年,你被送入宫中。
1.采选宫女
2.天下选秀
3.和亲称臣
…
Tips
无名氏
2099-01-01 00:00:01
ID:
Tips
超级公民
[
举报
]
No.9999999
管理
管理 -> No.9999999
SAGE
编辑
查询
Cookie查询
锁Cookie
删串
_ _
( ゚_゚)
/ (⁰ )╲/
…
无标题
无名氏
2022-09-17(六)23:04:59
ID:ap8hMbg
[
举报
]
No.52068890
管理
管理 -> No.52068890
SAGE
编辑
查询
Cookie查询
锁Cookie
删串
2一般按摩宫女罢了
…
无标题
无名氏
2022-09-17(六)23:05:13
ID:fcUDH9s
[
举报
]
No.52068893
管理
管理 -> No.52068893
SAGE
编辑
查询
Cookie查询
锁Cookie
删串
r
皇上居然是可攻略对象吗( ゚∀。)7
…
无标题
无名氏
2022-09-17(六)23:05:49
ID:ap8hMbg
[
举报
]
No.52068911
管理
管理 -> No.52068911
SAGE
编辑
查询
Cookie查询
锁Cookie
删串
>>No.52068893
没人说皇上不能选宫女啊゚∀゚)σ
…
无标题
无名氏
2022-09-17(六)23:05:51
ID:fcUDH9s
[
举报
]
No.52068912
管理
管理 -> No.52068912
SAGE
编辑
查询
Cookie查询
锁Cookie
删串
我还以为皇上只是一个无期的做题机器( ゚∀。)7
…
无标题
无名氏
2022-09-17(六)23:05:52
ID:i7z8hxF
[
举报
]
No.52068914
管理
管理 -> No.52068914
SAGE
编辑
查询
Cookie查询
锁Cookie
删串
皇帝还是给雪酥吧,让他好好当爸爸去(つд⊂),柿子看他表现
…
无标题
无名氏
2022-09-17(六)23:05:53
ID:7uCzojL
(PO主)
[
举报
]
No.52068915
管理
管理 -> No.52068915
SAGE
编辑
查询
Cookie查询
锁Cookie
删串
>>No.52068893
//如果第一回合你出了道题的话迅速就能抓住他的心了,某种意义上极度好攻略
…
无标题
无名氏
2022-09-17(六)23:06:04
ID:IntlSm0
[
举报
]
No.52068921
管理
管理 -> No.52068921
SAGE
编辑
查询
Cookie查询
锁Cookie
删串
//快进到和皇帝一起研究概姓
…
无标题
无名氏
2022-09-17(六)23:06:07
ID:i7z8hxF
[
举报
]
No.52068922
管理
管理 -> No.52068922
SAGE
编辑
查询
Cookie查询
锁Cookie
删串
2
…
无标题
无名氏
2022-09-17(六)23:06:30
ID:ap8hMbg
[
举报
]
No.52068937
管理
管理 -> No.52068937
SAGE
编辑
查询
Cookie查询
锁Cookie
删串
>>No.52068915
皇上都二十八九了怎么还这么单纯( ゚∀。)7
…
无标题
无名氏
2022-09-17(六)23:06:44
ID:qveYnPv
[
举报
]
No.52068939
管理
管理 -> No.52068939
SAGE
编辑
查询
Cookie查询
锁Cookie
删串
2
…
无标题
无名氏
2022-09-17(六)23:07:02
ID:ap8hMbg
[
举报
]
No.52068949
管理
管理 -> No.52068949
SAGE
编辑
查询
Cookie查询
锁Cookie
删串
>>No.52068921
快进到和皇上研究费马大定理
…
无标题
无名氏
2022-09-17(六)23:07:05
ID:qveYnPv
[
举报
]
No.52068950
管理
管理 -> No.52068950
SAGE
编辑
查询
Cookie查询
锁Cookie
删串
゚∀゚)σ买入世子股
…
无标题
无名氏
2022-09-17(六)23:07:31
ID:IntlSm0
[
举报
]
No.52068965
管理
管理 -> No.52068965
SAGE
编辑
查询
Cookie查询
锁Cookie
删串
>>No.52068921
//概形
…
无标题
无名氏
2022-09-17(六)23:07:41
ID:vdZQ9Nr
[
举报
]
No.52068971
管理
管理 -> No.52068971
SAGE
编辑
查询
Cookie查询
锁Cookie
删串
我觉得皇上很好玩( ゚∀。)
…
无标题
无名氏
2022-09-17(六)23:08:39
ID:IntlSm0
[
举报
]
No.52069003
管理
管理 -> No.52069003
SAGE
编辑
查询
Cookie查询
锁Cookie
删串
肥肥想先了解我准备好的下一题吗
…
无标题
无名氏
2022-09-17(六)23:09:03
ID:fcUDH9s
[
举报
]
No.52069016
管理
管理 -> No.52069016
SAGE
编辑
查询
Cookie查询
锁Cookie
删串
快进到都是研究高数的同僚友谊,一点爱情的成分都没有( ゚∀。)σ
…
无标题
无名氏
2022-09-17(六)23:09:14
ID:7uCzojL
(PO主)
[
举报
]
No.52069026
管理
管理 -> No.52069026
SAGE
编辑
查询
Cookie查询
锁Cookie
删串
>>No.52069003
//来来来,我要给在学概率论的朋友增加压力
…
收起
查看大图
向左旋转
向右旋转
无标题
无名氏
2022-09-17(六)23:09:59
ID:IntlSm0
[
举报
]
No.52069055
管理
管理 -> No.52069055
SAGE
编辑
查询
Cookie查询
锁Cookie
删串
>>No.52069026
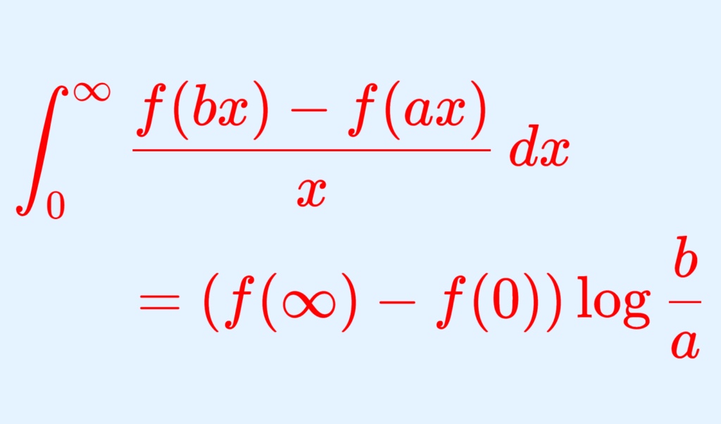
哦好,求证这张图
…
无标题
无名氏
2022-09-17(六)23:10:08
ID:qveYnPv
[
举报
]
No.52069059
管理
管理 -> No.52069059
SAGE
编辑
查询
Cookie查询
锁Cookie
删串
>>No.52069003
//肥哥的饼看起来就好数学( ゚∀。)
首页
上一页
47
48
49
下一页
末页
UP主: