X岛揭示板
搜索
时间线
综合线
创作线
非创作线
亚文化线
综合2线
游戏线
生活线
综合
综合版1
DANGER/U/
欢乐恶搞
速报2
绘画(二创)
社畜(校园)
故事(小说)
都市怪谈(灵异)
军武
技术宅(代码)
数码(装机)
宠物
女装(时尚)
买买买(物品推荐)
亚文化
动画综合
漫画
婆罗门一
电影/电视
主播管人(圈内)
卡牌桌游
特摄(布袋戏)
战锤
胶佬(手办)
铁道厨(车辆)
VOCALOID
小马(美漫)
东方Project
舰娘
创作
跑团
创作茶水间
规则怪谈
海龟汤(推理)
科学(干货)
文学(推书)
音乐(推歌)
AI(Chatgpt)
摄影(cos)
ROLL点
游戏
游戏综合
手游专楼
任天堂
N
S
腾讯游戏(LOL)
暴雪游戏
SE(FF14)
V社(DOTA)
怪物猎人
鹰角游戏
米哈游
音游打卡
联机(服务器发布)
生活
露营
育儿
自救互助
料理(美食)
体育(健身)
学业打卡
日记(树洞)
管理
值班室
技术支持
版务
三百人委员会
功能
用户系统
我的订阅
我的发言(new)
手机版
普通版
首页版规
|
用户系统
|
移动客户端下载
|
丧尸路标
|
|
常用图串及路标
| 请关注 官方公众号:
【X岛揭示板】
官方微博:
【@X岛极速版】
|
人,是会思考的芦苇
常用串:·
豆知识
·
跑团板聊天室
·
公告汇总串
·
X岛路标
X岛揭示板
科学
No.58083177
第 1 页
登录
No.58083177 - 无标题 - 科学
回应模式
No.58083177
名 称
管理员
E-mail
标题
颜文字
正文
附加图片
水印
•涵盖各类科学的讨论板块
•可盖棺定论各热门事件/关注后续/谣言粉碎
•干货什么的最喜欢了!
•请注意发言所包含的信息量,信息量过低的内容将移回综一
•引用请注明出处,民科、伪科学退散
无标题
无名氏
2023-06-14(三)18:30:18
ID:xpuF0Wj
[
举报
]
[
订阅
]
[
只看PO
]
No.58083177
[
回应
]
管理
管理 -> No.58083177
SAGE
编辑
查询
Cookie查询
锁Cookie
删串
为什么e会在那么多领域出现?比方说神经科学的Sigmoid函数( ゚π。)
…
Tips
无名氏
2099-01-01 00:00:01
ID:
Tips
超级公民
[
举报
]
No.9999999
管理
管理 -> No.9999999
SAGE
编辑
查询
Cookie查询
锁Cookie
删串
(`ヮ´ )σ`∀´) ゚∀゚)σ
…
无标题
无名氏
2023-06-14(三)18:31:45
ID:4la3pM1
[
举报
]
No.58083202
管理
管理 -> No.58083202
SAGE
编辑
查询
Cookie查询
锁Cookie
删串
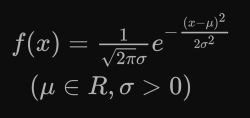
印象里和正态分布随机累积什么的有关( ゚∀。)?(可能完全是错的,只是有这个印象
…
收起
查看大图
向左旋转
向右旋转
无标题
无名氏
2023-06-14(三)18:33:39
ID:xpuF0Wj
(PO主)
[
举报
]
No.58083237
管理
管理 -> No.58083237
SAGE
编辑
查询
Cookie查询
锁Cookie
删串
>>No.58083202
( ゚π。)谢谢
…
无标题
无名氏
2023-06-14(三)18:35:53
ID:c1VkhIS
[
举报
]
No.58083279
管理
管理 -> No.58083279
SAGE
编辑
查询
Cookie查询
锁Cookie
删串
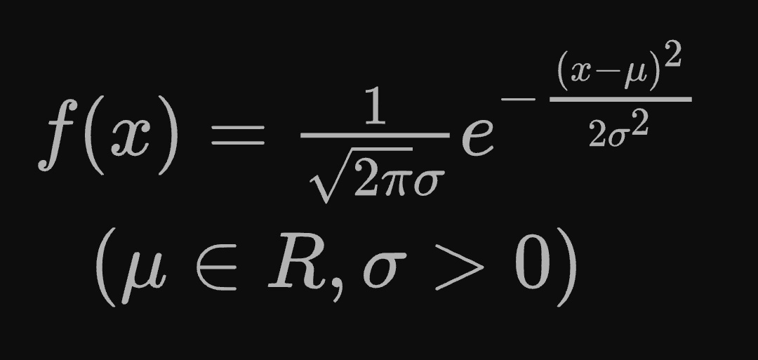
因为e是自然对数的底,指数函数用e做底在算很多东西的时候形式最简单
…
收起
查看大图
向左旋转
向右旋转
无标题
无名氏
2023-06-14(三)22:18:56
ID:plwvFwS
[
举报
]
No.58087679
管理
管理 -> No.58087679
SAGE
编辑
查询
Cookie查询
锁Cookie
删串
sigmoid函数是为了把输出归一化成一个概率向量的形式。选用指数函数是因为指数函数增长最快,神经网络希望输出是一个形如(0...010...0)的向量,方便判决,那么相距很近的两个数经过指数函数以后就会相距很远,变得接近这个形式。
…
无标题
无名氏
2023-06-14(三)22:24:28
ID:plwvFwS
[
举报
]
No.58087810
管理
管理 -> No.58087810
SAGE
编辑
查询
Cookie查询
锁Cookie
删串
所以,如果就事论事,e出现在sigmoid函数里单纯是因为我们需要一个指数函数,就让e来当底了。但你要问为什么e广泛地出现在自然科学公式里?那当然是因为e^x导数是它自身啊,也就是说,所有涉及到指数或对数函数的自然现象,都必然逃不开e. 而涉及到指数或对数函数的自然现象非常普遍,因为只要有一个东西的变化率和取值成正比,就会产生对数函数;或者一个东西受力和位移大小成正比且方向相反,就会产生复指数函数(三角函数)。
…
无标题
无名氏
2023-06-14(三)22:28:24
ID:prrlb3C
[
举报
]
No.58087880
管理
管理 -> No.58087880
SAGE
编辑
查询
Cookie查询
锁Cookie
删串
>>No.58087810
见到e和对数就很好奇,数学到底是自然界本来就存在的,还是人为了更好的描述和分析创造出来的概念(;´Д`)
…
无标题
无名氏
2023-06-14(三)22:30:41
ID:plwvFwS
[
举报
]
No.58087927
管理
管理 -> No.58087927
SAGE
编辑
查询
Cookie查询
锁Cookie
删串
>>No.58087880
作为工科生,我认为是人类发现了物理而发明了数学。数学是描述自然现象的工具
…
无标题
无名氏
2023-06-14(三)22:33:32
ID:leR52Da
[
举报
]
No.58087998
管理
管理 -> No.58087998
SAGE
编辑
查询
Cookie查询
锁Cookie
删串
谢谢,已经开始头晕了
…
无标题
无名氏
2023-06-15(四)12:14:52
ID:0QrmmIe
[
举报
]
No.58096510
管理
管理 -> No.58096510
SAGE
编辑
查询
Cookie查询
锁Cookie
删串
>>No.58087880
(1+1/n)的n次方的极限嘛
…
无标题
无名氏
2023-06-17(六)22:55:02
ID:low6mNY
[
举报
]
No.58147796
管理
管理 -> No.58147796
SAGE
编辑
查询
Cookie查询
锁Cookie
删串
>>No.58083177
因为以e为底的指数函数有很好的性质,所以人们经常用它。
举一个其他的例子,因为多项式有很好的性质,所以人们选择有时候将函数近似为多项式来研究。
…
无标题
无名氏
2023-06-17(六)23:00:53
ID:hhyS5E6
[
举报
]
No.58147902
管理
管理 -> No.58147902
SAGE
编辑
查询
Cookie查询
锁Cookie
删串
其实我挺好奇欧拉公式的,可以把e和π两个无理数联系起来
…
无标题
无名氏
2023-07-05(三)12:42:23
ID:6pRSsg3
[
举报
]
No.58452274
管理
管理 -> No.58452274
SAGE
编辑
查询
Cookie查询
锁Cookie
删串
>>No.58147902
欧拉公式更像是一个复数的指数形式的定义的特例,而非公式,但是在复分析里面具有广泛的应用和意义
上一页
1
下一页
UP主: