写作绅士,读作丧尸 X岛揭示板
顺猴者昌 逆猴者亡 首页版规 |用户系统 |移动客户端下载 | 丧尸路标 | | 常用图串及路标 | 请关注 公众号:【矛盾苇草】| 人,是会思考的芦苇
常用串:·豆知识·跑团板聊天室·公告汇总串·X岛路标

科学


名 称
E-mail
标题
颜文字
正文
附加图片
•涵盖各类科学的讨论板块
•可盖棺定论各热门事件/关注后续/谣言粉碎
•干货什么的最喜欢了!
•请注意发言所包含的信息量,信息量过低的内容将移回综一
•引用请注明出处,民科、伪科学退散

无标题 无名氏 2023-09-10(日)23:36:48 ID:TWqIkMM [举报] [订阅] No.59465117 [回应] 管理
我有个疑问
肥在初中开始玩的塔罗牌,算的还是很准的,以至于有学星盘的想法,不过当时网上没找到教程。别人和我的说法是,塔罗牌是用潜意识的方法来判断的,墨菲定律啥的,所以还算可信。
现在打算学学老祖宗的周易,想先用周易扑克牌来开启,一是作为兴趣启蒙,二是顺便学习一些基本的知识,但对于这种像是中西结合的方式完全不了解,不知道有没有用,会些小六壬,但不知道易经扑克牌靠不靠谱,求解。
无标题 无名氏 2023-09-11(一)08:04:53 ID:y1ucSy2 [举报] No.59467527 管理
去自救互助问啦
无标题 无名氏 2023-09-27(三)23:28:40 ID:yNogU5Y [举报] No.59667027 管理
找别人双盲检验一下
无标题 无名氏 2023-09-28(四)04:50:04 ID:NwBl8vr [举报] No.59668683 管理
塔罗牌涉及不多不评价了,不过既然会一些小六壬,考虑一下从梅花易数开始?

无标题 无名氏 2023-09-04(一)11:13:15 ID:V9IGyld [举报] [订阅] No.59389316 [回应] 管理
为什么肺鱼有澳洲肺鱼、美洲肺鱼、非洲肺鱼,唯独没有亚洲欧洲肺鱼?
是人太多给吃完了吗( ゚∀。)
回应有 6 篇被省略。要阅读所有回应请按下回应链接。
无标题 无名氏 2023-09-18(一)22:26:43 ID:qmQ6Upj [举报] No.59561915 管理
如果一个物种能分布到澳洲南美洲非洲之类的南半球角落,却在北半球旧大陆上找不到踪影,那么很有可能是被新生代以来的多次冰川运动橄榄了。
收起 查看大图 向左旋转 向右旋转
无标题 无名氏 2023-09-20(三)21:48:24 ID:e0JGM8m [举报] No.59585372 管理
澳洲、南美洲、非洲在现存的这些肺鱼种类还没分化出来的时候是连在一起的,叫冈瓦纳大陆,亚洲(印度除外)、欧洲、北美洲是另外一块,上面也有过肺鱼,不过很早就全寄了,和人没有关系
无标题 无名氏 2023-09-20(三)22:33:43 ID:qmQ6Upj [举报] No.59585923 管理
>>No.59585372
专业(´゚Д゚`)b
无标题 无名氏 2023-09-20(三)22:52:48 ID:qmQ6Upj [举报] No.59586147 管理
>>No.59585372
然后说到冈瓦纳古陆,就想起了这项研究,进化的历程可谓波澜壮阔
https://www.weibo.com/5958187386/LCUdm9eMg
无标题 无名氏 2023-09-27(三)09:29:09 ID:V9IGyld (PO主) [举报] No.59659042 管理
>>No.59585372
(´゚Д゚`)b
我还以为是太呆了被人吃光了。
毕竟会多层一圈把自己封在土块里不会跑 这不就是活的肉干吗 还不用担心变质

无标题 无名氏 2023-02-04(六)17:56:47 ID:UdUSYhh [举报] [订阅] No.55321267 [回应] 管理
所谓算命

讲究的就是一个随便!ᕕ( ゚∀。)ᕗ

(此串致力于用科学的方法甚至是调笑的方式去解构算命,如有冒犯,请尽情举报屏蔽)
回应有 18 篇被省略。要阅读所有回应请按下回应链接。
无标题 无名氏 2023-02-05(日)19:38:52 ID:jaiu5Jr [举报] No.55347558 管理
看串想起了学校的周易课( ゚∀。)
无标题 无名氏 2023-08-27(日)19:45:59 ID:ljistWL [举报] No.59288505 管理
无标题 无名氏 2023-09-22(五)04:00:52 ID:ZSRucDk [举报] No.59600966 管理
好popo,再来点( ゚ω゚)读得津津有味
无标题 无名氏 2023-09-22(五)12:55:42 ID:eiugQzg [举报] No.59604215 管理
>>No.55324827
゚∀゚)σ两边都信,或者挑顾客喜欢的那个说
无标题 无名氏 2023-09-27(三)02:39:33 ID:ZSRucDk [举报] No.59657526 管理
!!!看了好几天没更新后才发现popo2月份就痛了(;´Д`)……
(っ˘Д˘)ノ<痴心的我~还在等你回来~

无标题 无名氏 2023-09-22(五)10:49:04 ID:1Vm1u9G [举报] [订阅] No.59602889 [回应] 管理
假设 所有人同时买入一支股票 股票涨了 大家都赚到钱 社会财富直接增加吗?
回应有 3 篇被省略。要阅读所有回应请按下回应链接。
无标题 无名氏 2023-09-23(六)16:19:07 ID:w65FDbS [举报] No.59617183 管理
庞氏骗局?
无标题 无名氏 2023-09-23(六)20:16:10 ID:8ASzGH5 [举报] No.59619473 管理
这个问题其实可以换一种表达方式:一人发一百块钱
实际上社会总财富还是不变的,只是每个人手中的钞票变多了而已,可以看做是变相的通货膨胀( ゚ 3゚)
无标题 无名氏 2023-09-25(一)19:27:25 ID:gGrbHIn [举报] No.59641946 管理
是的,社会财富增加了。问题核心在于股票是边际定价的。
边际定价的意思是:假设一家公司的股票一共有10亿股,现在市场上最后一笔成交是100股,成交价3.00元/股,这就是边际价格。
这100股的价值是多少呢?当然是3.00元/股。那么其他的9亿9999万9900股的价值是多少呢?在现在这个瞬间,也是3.00元/股。
如果下一秒,有一笔新的100股的成交,价格是3.03元/股,那么所有10亿张股票的价值都上涨了1%,变成了3.03元/股。那些手里持有这家股票的股民、投资机构,他们什么都没做,财富就增加了。
这就是边际定价。
股票、债券、期货、房地产、比特币,所有交易类资产都是边际定价的。一个小区只要卖出一套房子,剩余的几千套房子都会跟随着升值或贬值。
但是所有人财富增加,不代表所有人都赚到钱。赚钱需要变现,所谓落袋为安,不然再多的财富只是账面财富。
如何选择变现的方式和时机,尽量减小变现过程对价格的冲击,就是另一个问题了。
无标题 无名氏 2023-09-25(一)19:44:28 ID:xVAU1SL [举报] No.59642114 管理
股票不是假的吗,真的能增加社会财富?那直接印钱不是加得更快。闭眼按零是最快增加社会财富的方法吧
无标题 无名氏 2023-09-26(二)01:25:29 ID:g9NmlDm [举报] No.59645790 管理
1.首先需要有那么多股份在流通,并且需要考虑股票卖给了谁。股价上升的原因是有供需不同造成撮合交易时价格爬升或下降,这里重点是供需不同。所以不单单是买的人多就会涨,如果买卖方规模持平,供需相同,那只能说交易量大而已,与股价没关系。
2.假设股票买到手,而且股价也顺利抬升,那么现在卖给谁。我们普罗大众接触到的股票多是二级市场,也就是这些股票实际上就是在股民间来回倒腾,股票总数是不变的,如果所有人都要买,那谁来接手?
3.假设有一个冤大头愿意接手所有人的股票,那么早买的人肯定是能赚到题干中所说的钱的,但是实际上并不能同时卖出,那么经济学角度看,随着冤大头手中的股票越多,冤大头对于股票的边际需求肯定会递减,出价也就随之走低,后来的卖家肯定会赚少甚至赔本套牢,那么市场的恐慌情绪就会开始蔓延,发生踩踏事件,也就是所有人争相向冤大头兜售自己的股票。那么这时就不是共同发财,而是大部分人的钱集中在了少部分人手里,也就是最先买掉手中股票的人手里。
4.再假设冤大头愿意同时以同一价格买走股票,那么实际上钱没有凭空产生,只是从冤大头那里转移到了股市再分配给了大家——股市是不会印钱的,能印钱的只有银行和有放贷性质的机构,这里说的印钱也就是所谓乘数效应。
综上,题目本身就是一堆假命题的集合,所有人都会变有钱的结论自然也是假命题,想要实现所有人都有钱的愿景,更可能的情况还是泡沫经济( ゚ 3゚)

无标题 无名氏 2023-09-24(日)20:22:45 ID:V9IGyld [举报] [订阅] No.59631481 [回应] 管理
为什么中东的人为了防晒会穿长袍裹头巾。
而在更南方的非洲黑土著好像基本都是裸露的。这算不算一种种族天赋( ゚∀。)
无标题 无名氏 2023-09-24(日)20:31:32 ID:co3pETe [举报] No.59631552 管理
变黑就是为了防晒啊 咱们被太阳晒黑也是这个原因

争取周更 DaoFP 翻译串 2023-02-18(六)16:20:39 ID:maxLY6f [举报] [订阅] No.55666696 [回应] 管理
《函数式编程之道》 by Bartosz Milewski

https://github.com/BartoszMilewski/DaoFP

(Po 既非计算机专业亦非数学专业,对范畴论/类型论只有一些粗浅的知识,欢迎指出问题/讨论)
回应有 43 篇被省略。要阅读所有回应请按下回应链接。
无标题 无名氏 2023-02-26(日)20:08:08 ID:maxLY6f (PO主) [举报] No.55847280 管理
接下来三个星期会停更,因为 PO 考研成绩出来了要准备复试,复试完就回来更新,红豆泥私密马赛
无标题 无名氏 2023-02-26(日)20:16:24 ID:maxLY6f (PO主) [举报] No.55847460 管理
顺便推荐 codewars 上一道题,跟书里写的是一个东西

https://www.codewars.com/kata/5917f22dd2563a36a200009c
无标题 无名氏 2023-08-04(五)15:45:05 ID:esQda7Y [举报] No.58943154 管理
无标题 无名氏 2023-08-29(二)11:59:28 ID:ZKUN4il [举报] No.59311390 管理
po上岸了吗(;´Д`)
无标题 无名氏 2023-09-13(三)21:28:39 ID:rUQKEOv [举报] No.59498433 管理
好东西!(=゚ω゚)=

心盲症 百度 2023-08-10(四)03:21:44 ID:i0nXBR5 [举报] [订阅] No.59028938 [回应] 管理
心盲症,又称想象障碍、幻像可视缺失症,是一种病症。症状为无法在脑海中形成图像。2009年,美国布鲁顿帕克学院的比尔·福(Bill Faw)报告说,他调查的2500人中约有2%的人无法想象画面。虽然这个比例看似很高,但总体来说,心盲症很少引起研究者或公众的注意。
因为只是闭眼时无法在脑海中想象具体事物的形象,并不会影响生活。他们一样可以脑补,脑子里有声音,就像是广播剧一样,一样可以做梦,但是睡醒时,无法提取梦里的任何画面。当他们思考人脸、风景时,是一种概念,无法用语言表达。
回应有 16 篇被省略。要阅读所有回应请按下回应链接。
无标题 无名氏 2023-08-30(三)15:03:48 ID:6cFSgRl [举报] No.59329634 管理
>>59096548
心盲症表示没问题,脑内出现某些特定词语甚至脑补小剧场(文字/声音/情绪感)+实际上摸自己的触感够用了
无标题 无名氏 2023-09-03(日)13:20:05 ID:i0nXBR5 (PO主) [举报] No.59379086 管理
>>No.59323501
尊嘟假嘟。
无标题 无名氏 2023-09-06(三)13:54:33 ID:as2NDE1 [举报] No.59413122 管理
长见识了|∀゚
无标题 无名氏 2023-09-06(三)14:00:33 ID:nBWAvNF [举报] No.59413178 管理
>>No.59379086
【( ゚π。)】
无标题 无名氏 2023-09-06(三)14:27:44 ID:mmvLm5Y [举报] No.59413430 管理
>>No.59379086
【(( ゚∀。))】

收起 查看大图 向左旋转 向右旋转
无标题 无名氏 2023-09-04(一)20:32:33 ID:qM0wtrv [举报] [订阅] No.59394497 [回应] 管理
这两种做法哪个才是对的, 或者说都是对的只是条件不一样( ゚∀。)
我看解答是用卷积做, 但是直接把积分算出来不就可以了, 不过这结果怎么不太一样 ( ゚∀。)7
jp串内
收起 查看大图 向左旋转 向右旋转
无标题 无名氏 2023-09-04(一)20:33:03 ID:qM0wtrv (PO主) [举报] No.59394503 管理
分享图片
收起 查看大图 向左旋转 向右旋转
无标题 无名氏 2023-09-04(一)20:34:37 ID:qM0wtrv (PO主) [举报] No.59394522 管理
jp
收起 查看大图 向左旋转 向右旋转
无标题 无名氏 2023-09-05(二)00:23:12 ID:h0bob6X [举报] No.59397292 管理
对单边Laplace变换而言,卷积积分的积分上限不是∞而是t
收起 查看大图 向左旋转 向右旋转
无标题 无名氏 2023-09-05(二)00:57:55 ID:qM0wtrv (PO主) [举报] No.59397649 管理
>>No.59397292
谢谢肥哥,我大概是明白了
话说上限变成 t 的原因是原函数 t<0 的时候要 =0 吗

无标题 无名氏 2023-04-20(四)16:17:03 ID:vZZAgYJ [举报] [订阅] No.56948966 [回应] 管理
性别议题,但是马克思主义
想简单从马克思主义的角度解析一下现有性别议题,主要是拾人牙慧,主要目的也不是为了引起大家的争论,而是为了大家可以从理论的高度藐视一些人。
回应有 25 篇被省略。要阅读所有回应请按下回应链接。
无标题 无名氏 2023-05-19(五)12:23:03 ID:AyQ03d1 [举报] No.57533577 管理
>>No.57344597
你这个自然规律下的最优解,和自然规律下的人性论有什么区别?
无标题 无名氏 2023-05-20(六)11:41:24 ID:WzUcWj6 [举报] No.57553583 管理
个人认为妇女的解放问题首要解决的是生育目的性的问题,即一个个体女性在社会中为什么会选择生育的问题。

就目前的可预见性来看,人们大多将生命的诞生作为个体的延续,在个体丧失劳动能力后依旧有资源能够保持基本的生活水准。

在旧社会中,新生儿的命运并不完全受母亲支配,而是整个家庭的寄托。因此形成了男性在外生产劳动,女性在内尽可能多的生产未来劳动力的生产机器。在此中,行为成了目的,完成了对女性的异化,并形成了相应的道德与伦理,时至今日,仍有女性对母亲的职责就是生儿育女这一强加给自身的观点抱有幻想。

为了解决这一点,首要的便是完成对新生儿的解放。真正的自由必定即是个人的亦是社会的,新生儿不应被看作是某个具体人的延续,而是一个单独的个体,他的存在由整体社会抚养,同时服务于整个社会。对此,完整的社会保障体系不可或缺,不止是在老有所依上,更体现在幼有所养,应在幼师之下再设立“婴师”的职业,负责专职教育呵护新生儿,他们由国家培训参与考试纳入完整的公有制教育体系。
(我并不认可上述有肥哥所说的家庭教育优越的看法,这更多是现实的无奈之举,很多父母应该参与考试才有教育孩子资格的权利。尤其是在一些欠发达地区,我看到了很多生儿不养的现实情况,在这种环境下孩子的心理畸形是后天学校教育根本无法扭转的。)

由此传统的家庭形式将被消解,每个新生儿可以自由为自己冠性,他们是自由的个体,不受隐性“家长制”所控制。

接下来的话题可能有些魔怔,只是根据现行推理的构想,不具备现实意义,不喜欢看的肥哥可以忽视了。
———————————————————
传统家庭被消解后,一个家庭可能在一对夫妻之后便消失。很可能围绕兴趣爱好、劳动合作关系、性关系等社会行为所延续,里面的成员也未必是成双成对的出现。

这里就根据两性关系讨论一个纯粹由性关系建立的极端情况,是在社会中人们自由选择结合的一种形式,在其中没有传统的男性或女性角色,由此在社会中男性与女性也被消解了,只有自然男性与自然女性生理上的区别,而这一区别也将被最大限度的忽视。
女性并不是唯一一个具有生育能力的存在(通过机器生育人口,以最大限度减少生育对女性的损害。)因此性行为只是一种生理及社交需求,人们可以自由的彼此结合。

这种自由结合并非是所谓的共产共妻,后者在维护原有制度的同时,仍在为自身权利做扩充,实际上既希望在社会公平的同时,又为自身谋求特权,以满足私有制在现实中无法实现的低劣幻想。

前者则是彻底的性解放,婚姻制度与其相配套的道德伦理将被彻底取消,家庭只作为固定关系的体现,人们可以自由的加入与退出,而且尊重个人意愿,不具备强制性。
无标题 无名氏 2023-05-31(三)20:06:01 ID:6FXnfss [举报] No.57788562 管理
我顺便提一嘴父权制度
父权制度的延续我认为是这样的:
从封建主义社会到资本主义社会,其社会秩序更接近于继承而不是重建,实际上仍旧是人压迫人的社会。我们甚至可以说,在一个有皇帝有宰相的独裁国家建设资本主义也完全不影响资本主义这个生产关系本身。因而,资本主义社会和一切改良主义者一样,对不会威胁到统治阶级利益的社会体制倾向于继承接纳,父权制度也是如此被承接过来的。
两一方面,在封建主义过度到资本主义时期,新兴阶级完全也可以是原来的地主贵族,他们的主要构成者和其他新兴资产阶级一样是男性。因为旧的制度下,男性的权利和权利都远远高于女性,无论是原有的阶级,还是新的统治阶级,都在这个过程中体现为男性为主。而从社会上来讲,资本主义社会需要新鲜血液来维持自己统治阶级的健康,统治阶级自身呢?他们不期望出现更多与自己同一阶级的人。因而女性跃升成为资产阶级的道路就从这几个方向被阻碍了。
无标题 无名氏 2023-06-01(四)13:17:55 ID:WzUcWj6 [举报] No.57802339 管理
>>No.57788562
您说的非常好,尤其是在涉及上层建筑的利益与夺上。

男性对女性的压迫主要体现在资产的垄断控制,这是事实。但具体情况就是两性问题不能做两性分析,因为一旦涉入男女两性问题就必将陷入此增彼长的无限纠葛当中去,任何一方的行为都会被同时看作是对双方的压迫。

比如现今男性与女性在社会性别地位上完全调转,女性权权把握资本的延续与继承就达到当今女权主义者的目的了吗?女权主义是平等的人道主义,这是其进步性的关键。犹太人通过民族主义来反对极端民族主义,而根据其在巴勒斯坦的举动来看,现在谁是纳粹已经不好说了。

综上所述,两性问题的关键不是两性问题本身,自然解决两性问题也应该从别处入手。
无标题 无名氏 2023-09-01(五)19:08:59 ID:6FXnfss [举报] No.59358759 管理
>>No.57802339
说明白了,两性问题的根源仍旧是资本主义社会对大多数人的压迫的问题。
男女性权利和权力问题的本质是:构建一个标准化的性别形象或者说构建一个标准化的社会身份对于资本主义社会内在逻辑即资产增殖本身是有利的,同时,让这些身份对立即构建一个一切人反对一切人的社会看似是社会矛盾的激化和复杂化,但这种复杂化反而有利于资产阶级维护自身统治地位。
前者,标准化的社会身份对应了标准化的物质与文化产品的生产,换一个方向也是标准化的物质与文化产品构建了标准化的社会身份,这种相辅相成的走向在异化社会的同时也便利了资产阶级的剥削。
后者,复杂化的社会矛盾把矛盾从简明的阶级或一切人反对资本主义转变成了一切人反对一切人,为资本主义社会又上了一层罩子。

无标题 无名氏 2023-08-30(三)20:59:37 ID:SadlOUx [举报] [订阅] No.59333824 [回应] 管理
Th1:空集是任意集合的子集
这个Th是啥(´゚Д゚`)
无标题 无名氏 2023-08-31(四)02:48:03 ID:4JSGn5R [举报] No.59338748 管理
theorem
无标题 无名氏 2023-09-01(五)15:41:24 ID:gAFL8MH [举报] No.59356359 管理
>>No.59333824
theorem 定理

无标题 无名氏 2023-08-13(日)17:08:57 ID:mbiPzIS [举报] [订阅] No.59080231 [回应] 管理
一个很蠢的问题,学校里教写汉字的时候,为什么要让大家遵守同样的笔顺?如果有的人按“错误”的笔顺写出来反而很好看,应不应该尊重他们的笔顺呢?
比如本肥写“山”、“水”之类的字都是从左往右的,我感觉写出来不算太丑,先中间后两边反而很丑
(如果不合适出现在科学版的话,肥转去恶搞版)
回应有 4 篇被省略。要阅读所有回应请按下回应链接。
无标题 无名氏 2023-08-28(一)08:52:57 ID:HsSCo7v [举报] No.59295390 管理
>>No.59255945
我感觉这更像是书法方面对于笔顺的强调。
对于大多数不涉及书法的人来说,笔顺是否正确并不影响汉字作为信息载体的作用。电子设备上打出来的,打印机印出来都没有笔顺,但这些字仍是汉字。
一个人倒笔画写出来的字可能从书法角度来讲不算美观,但不会失去它作为文字记录信息的功能,也就是说笔顺是否正确对最终的使用几乎没有影响。可为什么所以教育都要强调这么一个“不重要”的事呢?
无标题 无名氏 2023-08-28(一)08:55:07 ID:sn9fjbd [举报] No.59295408 管理
为了让你使用笔画输入法的时候不至于懵逼 ( ゚ 3゚)
无标题 无名氏 2023-08-28(一)21:13:33 ID:Ps1yenc [举报] No.59304148 管理
学了行楷就知道了笔顺改变是正常现象
无标题 无名氏 2023-08-29(二)20:03:58 ID:GsnzrQe [举报] No.59318449 管理
书法上叫“结体”,也就是笔画与汉字整体结构的协调性
无标题 无名氏 2023-08-31(四)02:51:22 ID:4JSGn5R [举报] No.59338761 管理
为了便于沟通吧,大概

工程需要会让人们做很多科学上必要的事

收起 查看大图 向左旋转 向右旋转
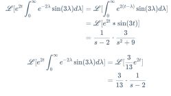
无标题 无名氏 2023-04-20(四)11:30:02 ID:89PrucN [举报] [订阅] No.56943833 [回应] 管理
肥哥们,有人会做这道题吗,小肥偏微分差的太多了( ´_ゝ`)
回应有 1 篇被省略。要阅读所有回应请按下回应链接。
收起 查看大图 向左旋转 向右旋转
无标题 无名氏 2023-04-20(四)11:30:45 ID:89PrucN (PO主) [举报] No.56943846 管理
分享图片
无标题 无名氏 2023-04-20(四)20:42:20 ID:PbnZU4X [举报] No.56953838 管理
在知道每个符号的意思之后,带进去硬算就好了
| ω・´)
有什么符号不知道吗?
收起 查看大图 向左旋转 向右旋转
无标题 无名氏 2023-04-21(五)14:55:36 ID:MjeW2aI [举报] No.56966379 管理
图源
https://en.wikipedia.org/wiki/Vector_calculus_identities
无标题 无名氏 2023-04-21(五)14:57:32 ID:MjeW2aI [举报] No.56966404 管理
>>No.56966379
公式的证明没什么可说的,等式两边老老实实写成分量即可
无标题 无名氏 2023-08-28(一)16:22:55 ID:PpijX0S [举报] No.59300210 管理
这不是波动方程的推导嘛,随便找本电动力学的书上面都有(顺带一提,虽然能理解rot,div与nabla算子表示的符号有一定差异,但是不用nabla算子还是有点奇葩)

无标题 无名氏 2023-08-25(五)03:45:35 ID:YLvG6v0 [举报] [订阅] No.59253619 [回应] 管理
我没看过德里达和德勒兹的作品。

可不可以用简单的语言,加上几个简洁的例子(不是类似把丁真的行为解构成顶真(一眼丁真)表情包-小丑),解释解释什么是解构主义?
为什么解构主义和结构主义算是二元对立的。

如果把解构这俩字解构了,解构会被解构成其他什么东西?

德勒兹的思想是什么主义,为什么说德勒兹全面否定了结构主义,他的思想表达了些什么,他和德里达的解构主义有什么区别?
回应有 3 篇被省略。要阅读所有回应请按下回应链接。
无标题 无名氏 2023-08-25(五)12:55:12 ID:fyBPEP5 [举报] No.59257064 管理
>>No.51734886
再引一段某人写的东西

解构主义的德里达用延异和痕迹取代了真理与符号。“能指—所指”的等级模式不复存在。
无标题 无名氏 2023-08-25(五)12:56:19 ID:xaGR8Qx [举报] No.59257081 管理
>>No.59257064
我想需要从能指所指是什么开始解释( ゚∀。)
无标题 无名氏 2023-08-25(五)12:56:55 ID:fyBPEP5 [举报] No.59257089 管理
>>No.59257081
引的里面不是有写吗
无标题 无名氏 2023-08-25(五)15:13:52 ID:s2oU3yZ [举报] No.59258652 管理
>>No.59257081
来自索绪尔的语言学,来自皮亚杰的结构主义心理学,来自20世纪的人文学科语言学转向,或者在各学科的本质问题上唯名论和唯实论的论争等等,如果你需要这类时代背景的答案的话会有很多很多。
结构一词在各个领域学派都有差异,甚至说中国传统文学的言意观也能看作是某种结构的解构。到德里达在文学则是强调语言结构中对文字本身的解构,也就是文学文本作为符号本身的“原型文学”,另一方面则是对于二元对立的解构,哲学和文学的对立等等等等的一些依附又远离的事物。
总而言之,现代人文学者多少都是跨学科的,上来就问是什么必然落入本质主义陷阱,我只敢说自己相对了解到部分。个人看法是作为读书人很多时候对理论的获得应该处于一个模糊的状态更佳,以便仍能接受其他思想。
无标题 无名氏 2023-08-25(五)16:09:28 ID:DrTJpRz [举报] No.59259405 管理
没法向能问出这种问题的人简单解释解构主义与结构主义,建议看书。

收起 查看大图 向左旋转 向右旋转
问问downfall的意思 无名氏 2023-08-22(二)17:40:01 ID:LKkmi3M [举报] [订阅] No.59216128 [回应] 管理
今天看到一个视频是刺客信条叛变里面对海森的评价,其中有句话是: Haytham was cunning and ruthless, but he had a streak of emotional weakness that ultimately triggered his downfall.
我看到中文翻译里面这一段是“导致了他的堕落”,但我感觉downfall在这里就是单纯描述他的死而不是说他堕落。我也没怎么找到把downfall当成堕落来用的例子,请问各位downfall真的可以作为“堕落”来使用吗?
我个人是以“陨落”来理解这个词的。
回应有 5 篇被省略。要阅读所有回应请按下回应链接。
无标题 无名氏 2023-08-22(二)18:13:00 ID:LKkmi3M (PO主) [举报] No.59216645 管理
>>No.59216374
以fallen来形容堕落这个用法我经常看到的,所以fallen angel翻译成堕天使我很支持
无标题 无名氏 2023-08-22(二)18:15:30 ID:LKkmi3M (PO主) [举报] No.59216696 管理
>>No.59216360
嗯嗯,总之我认为应该downfall不会是来形容这种道德上的堕落或者背离某一教义的,应该是形容某一事物的坏灭,就像海森被他儿子杀死后他的死亡这件事才是downfall
无标题 无名氏 2023-08-23(三)13:11:03 ID:lYAXMSd [举报] No.59226844 管理
为什么都看英文原文了还要纠结中文意思( ゚∀。)
所有的翻译词都是找某个相近意向往上靠的,直接结合语境背景理解的各种含义才是最准的
无标题 无名氏 2023-08-23(三)19:26:56 ID:LKkmi3M (PO主) [举报] No.59231313 管理
>>No.59226844
因为有评论说这是圣殿骑士在指责海森因为儿子堕落了⊂( ゚ω゚)つ,我说这只是翻译问题但是对方很坚定这一定是说海森堕落了,我的英语并不是很好所以在想是不是真的有这个用法,就来问一下
无标题 无名氏 2023-08-23(三)22:03:17 ID:lYAXMSd [举报] No.59233539 管理
>>No.59231313
是给别人讲啊
这东西就像阅读理解一样,要显得更有说服力的话可以上reddit发个帖子把理由写上去看看别人同不同意
不清楚这个游戏讨论的论坛是不是reddit,但只要能说服一定的人就是有道理的,哪怕是过度理解或者有更贴合的词

无标题 无名氏 2023-07-26(三)19:19:06 ID:AXvqgAF [举报] [订阅] No.58796234 [回应] 管理
听闻韩国一个名不见经传的小团队实现室温常压超导了,有没有凝聚态、材料学的大佬判断下可信程度,个人看还挺真的。
回应有 34 篇被省略。要阅读所有回应请按下回应链接。
无标题 无名氏 2023-08-10(四)23:12:17 ID:C396YG9 [举报] No.59042151 管理
wor 我怎么差一点就超级风怒了
无标题 无名氏 2023-08-10(四)23:16:34 ID:C396YG9 [举报] No.59042237 管理
就是说韩国人可能在一年前就已经测出来薄膜的超导性了,在做专利申请书,现在会发论文是因为韩国期刊上的论文是7月26日公开,团队里有人想抢先
无标题 无名氏 2023-08-10(四)23:19:16 ID:C396YG9 [举报] No.59042305 管理
韩国人更早之前就应该已经做出来迈斯纳效应了,薄膜制备这一步已经是可以直接用于工业生产和技术应用了。我不是很懂为什么只有抖音上有几个一知半解的搬运视频,其他平台上没有什么相关消息,A股的超导板块今天全绿
无标题 无名氏 2023-08-12(六)09:25:57 ID:3cQcEtL [举报] No.59060399 管理
>>No.59042068
可金属的电阻率都是10^-6 ohmcm量级的啊,另外这个lk99的电阻率是哪来的呢,光从这个没用对数坐标的图里我是看不出来( ゚∀。)
无标题 无名氏 2023-08-19(六)08:41:48 ID:ElAdb2R [举报] No.59165838 管理
现在已经基本有定论了:棒子国的“超导”现象是硫化亚铜Cu2S杂质造成的,纯净的LK-99甚至连导体都不是,是绝缘体。

无标题 无名氏 2023-07-18(二)17:21:17 ID:zaImsbY [举报] [订阅] No.58669189 [回应] 管理
来自啥都不懂小肥的瞎想
生物计算机是不是也就停留在概念了,这玩意没法发展吧( ゚∀。)7
神经元之间的交互速度跟晶体管相比慢到批爆
逻辑性的编程也难以想象( ゚∀。)
回应有 4 篇被省略。要阅读所有回应请按下回应链接。
无标题 无名氏 2023-08-15(二)10:57:21 ID:M2dtjJk [举报] No.59105421 管理
>>No.58674540编程是不是需要借助神经递质了(´゚Д゚`),好复杂
无标题 无名氏 2023-08-15(二)11:37:44 ID:XtmblgV [举报] No.59105924 管理
神经元,发热吗?
无标题 无名氏 2023-08-15(二)21:43:26 ID:SadlOUx [举报] No.59114425 管理
细胞类型,连接图谱,活动图谱哪一个都是天坑啊...
无标题 无名氏 2023-08-15(二)21:44:06 ID:SadlOUx [举报] No.59114433 管理
>>No.59114425
但凡是能解决一个都是今年的诺奖
无标题 无名氏 2023-08-16(三)00:05:53 ID:ljistWL [举报] No.59116839 管理
>>No.59105924
・゚( ノヮ´ )

无标题 无名氏 2023-07-13(四)22:54:20 ID:xpuF0Wj [举报] [订阅] No.58595665 [回应] 管理
所有的天然蛋白质都是生物合成的吗?
回应有 5 篇被省略。要阅读所有回应请按下回应链接。
无标题 无名氏 2023-07-13(四)23:18:38 ID:FEW18gy [举报] No.58596109 管理
>>No.58596084
( ゚∀。)7给我CPU干烧了
无标题 无名氏 2023-07-13(四)23:48:53 ID:0QrmmIe [举报] No.58596768 管理
( ゚∀。)7给我CPU干烧了
无标题 无名氏 2023-07-20(四)02:11:34 ID:IX3Cbce [举报] No.58693452 管理
>>No.58595967
河南拔智齿
无标题 无名氏 2023-07-28(五)06:09:18 ID:8VmTUqU [举报] No.58820122 管理
>>No.58596084
( ゚∀。)??????
无标题 无名氏 2023-08-15(二)10:55:30 ID:M2dtjJk [举报] No.59105401 管理
>>No.58596084
(|||゚Д゚)(|||゚Д゚)(|||゚Д゚)有点道理

无标题 无名氏 2023-06-26(一)02:36:11 ID:dw2M5n7 [举报] [订阅] No.58305413 [回应] 管理
(´゚Д゚`)
我好奇很久了。 为什么人不能像熊猫一样,婴儿小的像个耗子(つд⊂)(脑袋那么大,盆骨那么窄不是给自己找麻烦吗?)听说过人类都是早产儿,因为脑袋发育到一定阶段就会大的把妈妈活活卡死生不出来所以不能等彻底熟了再生。所以到二十岁的时候身体和大脑才算彻底长大成熟,人在2岁左右才会走路。为什么人不能像动物一样,胚胎小小的,在肚子里就发育到成熟再生出来,这样生出的小孩无论大脑还是身体都发育迅速,难产率还低,婴儿小,在躲避天敌或者迁徙也方便拎走
为什么人的子宫没有选择演化出可以感到精子着床以后再开启子宫内膜的淘汰劣胎劣精的行为?这样省略掉了生产环境和生理状态很糟不打算怀孕的时候可以避免月经周期,给自己省点血和能量。
人那么小,胎儿那么大 遇到非常恶劣的环境流产或者生下来会耗费巨大的营养,为啥没能演化出可以随时终止妊娠,或者吸收掉胎儿的功能(记得兔子就能这样)?
进化出的功能肯定是有什么原因和作用,是因为现在的生理结构更有用吗?
回应有 22 篇被省略。要阅读所有回应请按下回应链接。
无标题 无名氏 2023-08-07(一)12:44:58 ID:6OED1ns [举报] No.58985368 管理
你就理解为人脑子那么精密的前置要求是胚胎时期就得长得足够大,变成小小只胚胎就没有聪明的脑子了
但是又有一个太大了不好生的生理结构限制,只能在这个限制里尽可能长得大
所以是由于大小限制而不成熟,由于智力要求而大头
又想没生下来的时候小小的,又想生完之后很快就成熟变得聪明伶俐,po怕不是当人类是压缩包呢σ`∀´)
无标题 无名氏 2023-08-07(一)14:56:29 ID:Jg1hdl0 [举报] No.58986836 管理
>>No.58305633
你觉得成熟是什么意思?
成熟就是长大,又想不长大又想成熟,你在这培育矮人呢是吧( ゚∀。)7
动物长的快不是因为它们在肚子里发育的更成熟,而是因为它们生命周期短,从出生到成年的时间比人类要短了好几倍
无标题 无名氏 2023-08-08(二)11:47:09 ID:Y50fCdZ [举报] No.58999362 管理
可以去看看这本书《病者生存》里面有讲到猜测(=゚ω゚)=
无标题 无名氏 2023-08-13(日)16:36:03 ID:rUzRYqa [举报] No.59079851 管理
进化不是主动的过程,选择体现在优胜劣汰上。
通俗来讲就是可以,但没必要。
无标题 无名氏 2023-08-14(一)22:38:02 ID:Q5KoSFS [举报] No.59099903 管理
PO在说什么话,你到底是想让孩子在娘胎里长得多还是长得少?

无标题 无名氏 2023-08-11(五)23:30:44 ID:GJbA14u [举报] [订阅] No.59057214 [回应] 管理
肥哥们有什么百度网盘不限速的方法吗?找到的资源大多数都用的是百度网盘( ´ー`)
jp串内
回应有 2 篇被省略。要阅读所有回应请按下回应链接。
无标题 无名氏 2023-08-12(六)13:31:12 ID:50sadQj [举报] No.59063204 管理
很难。因为某度真的禁不限速的办法。规则内的有每月一天的最低等会员,下载会快一些,其他的有待补充
收起 查看大图 向左旋转 向右旋转
无标题 无名氏 2023-08-12(六)17:04:18 ID:Gjuh5dQ [举报] No.59065463 管理
油猴扩展
收起 查看大图 向左旋转 向右旋转
无标题 无名氏 2023-08-12(六)17:15:14 ID:TPUwtqc [举报] No.59065590 管理
idm
无标题 无名氏 2023-08-14(一)09:40:50 ID:M0iyfT0 [举报] No.59089419 管理
唉,我之前有个下载速度一个多g每秒的版本,我更新了个系统,给我闪退了,就MIUI14更新了之后闪退
无标题 无名氏 2023-08-14(一)16:02:29 ID:p9PosGa [举报] No.59094265 管理
几年前我电脑上有个VIP试用时间越用越长的版本,有一次升级电脑重装了系统,更新了硬盘分区,啥都没了,我好后悔啊(´゚Д゚`)

无标题 无名氏 2023-07-21(五)17:02:11 ID:0O0uRMB [举报] [订阅] No.58715604 [回应] 管理
看了真理元素的一期关于熵的视频,他提到太阳传递给地球的能量与地球发散到宇宙的能量相等,只是太阳的能量品质高。
我的疑惑是,类似植物光合作用这种不会存储一部分能量吗,会不会实际上他没有提到这部分呢( ゚ 3゚)
回应有 1 篇被省略。要阅读所有回应请按下回应链接。
无标题 无名氏 2023-07-28(五)19:20:21 ID:RKBRwdb [举报] No.58830035 管理
>>No.58715747
无标题 无名氏 2023-08-02(三)08:02:10 ID:vqyHTEl [举报] No.58905068 管理
这些储存的能量在经过一系列生命和非生命的活动之后,总是要转变为热能散发到太空中的,如果把地球的总能量看做不变,那么这些光能就完全转化成了热能并且不会留在地球上
无标题 无名氏 2023-08-02(三)08:15:25 ID:NPXu1Ps [举报] No.58905162 管理
你就理解为一个盆嘛,满了之后流进去的水跟流出来的水相同
无标题 无名氏 2023-08-02(三)08:20:33 ID:xi72Euu [举报] No.58905198 管理
我觉得也只能说是近似( ゚∀。)
毕竟被植物固定下来的能量实在是少之又少

存储的话比如说地下的煤,在没有人类开采的情况下似乎确实是在逐渐积累的,也不能说像前面肥哥说的是个大小固定的盆( ゚∀。)
但是在这个总量下,这点能量忽略不计也基本没什么问题( ゚∀。)
无标题 无名氏 2023-08-13(日)01:12:52 ID:0O0uRMB (PO主) [举报] No.59073183 管理
感谢诸位肥哥解惑( ゚∀゚)

UP主: